Showing posts with label stoicism. Show all posts
Showing posts with label stoicism. Show all posts

Wednesday, August 2, 2017

The stoic viewpoint: make the best of what's in our power and we take the rest as it naturally happens.


 The Stoics are the people on the top of the hill. They are applying Epictetus' maxim that says "What, then, is to be done? To make the best of what is in our power, and take the rest as it naturally happens." (Discourses, 1.1.17). 
(Image courtesy: Nate Hagens.)


There comes a point in which you have to acknowledge reality: Business as usual, BAU, is dead. Not that it would be impossible to avoid, or at least soften, the imminent disruption of our way of life caused either by resource depletion or climate change (or both). But that implies making sacrifices, renouncing something today for a better world tomorrow. And people are just not going to do that. We are not wired to plan for the future. We are wired to exploit what we have at hand.

The recent global events have shown that humans, worldwide, are unable to see priorities. The richest country in the world, the US, has turned its back to what science says about our faltering ecosystem, pursuing the impossible dream to return to an imaginary world of happy coal miners as England was at the time of Charles Dickens. The US is not the only example of a society that desperately tries cling to the old ways, refusing to change. Practically every country in the world is pursuing a dream of economic growth which, at this point, is just as impossible as a return to coal.

Does that mean we have to fall into despair? Some people seem to have arrived at this conclusion: there is nothing that can be done, therefore nothing that should be done. After all, what was so bad with the Middle Ages? And, anyway, human extinction would surely solve a lot of problems. Other take the opposite view, desperately hoping for some technological miracle that will lead us to leave the earth, colonize other planets, and mine the inexistent ores on asteroids.

What is to be done, then? Over the years, I found myself closer and closer to that group of ancient philosophers who lived during the times of decline of the Roman Empire who called themselves "Stoics" and who themselves the same question: what's to be done? The answer was given by Epictetus in his "Discourses:" It is "To make the best of what is in our power, and take the rest as it naturally happens". (1.1.17). And, after all, Seneca, to whom I credit the idea of the "Seneca Cliff", was a stoic, too!

So, here is a picture of the vegetable gardens that we planted in the courtyard of a building of the University of Florence (here it is shown with two students who have volunteered to take care of it). We plan to plant many more of these gardens. And, in this way, we make the best of what's in our power and we'll take the rest as it naturally happens.







Sunday, May 15, 2011

Entropy, Peak Oil, and Stoic Philosophy



I had plenty of time for my talk at the conference “Peak Oil: fact or fiction?” held in Barbastro (Spain) on May 4-7 2011. So, I could ramble a little on various subjects, from the entropy of complex systems to the stoic philosophy of Emperor Marcus Aurelius (above). Perhaps too many things but, in any case, here is a version written from memory where I tried to maintain the tone and the content of my talk. I have added headings for clarity




1. Simple physics and complex systems

So, ladies and gentleman, first of all let me show you this apple (photo by Daniel Gomez)  



Don't worry; it doesn't mean that this will be a very long talk! I brought this apple with me just because I wanted to tell you about Newton's universal law of gravity. As we know, it seems to be true that he got the idea because he saw an apple falling from a tree (although it may not have fallen straight on his head!).

The fact that apples fall from trees - and that everything else that can fall, does - is an effect of the existence of relatively simple laws in the universe. Many things that we see around us are extremely complicated - or "complex". Think of the solar system, for instance. There are many bodies of different sizes, moving in different trajectories. But there is a certain logic in it and the logic comes from a very simple law - Newton's law - which can be expressed as follows:
Before Newton, for a long time scientists could only grumble something about “angels pushing” when asked about what caused planets to move. But if you know the law, you can describe not only the movement of the planets of the solar system, but all sort of bodies, including entire galaxies.

It is not rare to find an underlying simple law that generates complex systems. Think of fractals; Mandelbrot's set, for instance. Fractals are not just mathematical entities, are common in nature, as well. Or think of models such a Feigenbaum's bifurcations – they are the result of an extremely simple equation. These are examples of a class of systems that are relatively common in physics. Complex systems resulting from very simple laws. It is one of the beauties of physics that these systems exist.

Now, when we discuss of complex system, of course what comes to our mind is the subject we are discussing today – the economy and what makes it move. This is surely a very complex system and one of the problems economists have is that most of their models just don't seem to be working very well. Sometimes, economists seem to be still thinking of the "invisible hand" and that looks very much like the angels pushing planets of long ago. But astronomers are not thinking or angels any longer whereas economists.... well, let me not engage in economist-bashing.

2. Newton's apple in economics

So, let's see if we can inject some physics into modelling the economy. Can we find something equivalent to Newton's apple in economics? I think it is possible and let me show the observation that can give us the key that we need to understand how our economy works - considering that it is strongly based on non-renewable resources; crude oil in particular. So, here is this “apple” for crude oil, as Marion King Hubbert published it in 1956.

Note that Hubbert had only data until 1956, the rest is extrapolation. What this graph says is that he expected oil production in the US 48 lower states to behave in a certain way. Did it? Yes, as you can see in this image.


The agreement is impressive, considering that the curve spans several decades. But the main point, I think, is that oil production did follow a certain trajectory. There is a regularity, here. There is some kind of underlying law. And it is not angels – angels don't extract crude oil (for what we know, at least; one wonders what energy source they use in Paradise...). So, let me show the historical production data for Hubbert's case as we have them today. It is in Italian, but I think is easy to understand.
This graph emphasizes the “bell shaped” curve that production follows. Today, this curve is often know as “Hubbert's curve” and the maximum in production is the “Hubbert peak”. You have surely heard to it. When referred to world oil production, people say “Peak Oil” and we heard that term mentioned many times at this conference.

Now, I am telling you that this curve can be seen as the “falling apple” that gives us the key to understand the inner mechanisms of the exploitation cycle. Of course, before going on I have to convince you that this is a very general behaviour. All apples fall from trees in the same way and not just apples – also oranges and watermelons; just as do cats and dogs, planes and TV sets and whatever you can think of. Actually, not exactly everything – take a feather and you'll see that it doesn't follow Newton's law. But, of course, you don't jump to the conclusion that Newton's law is wrong; of course. It means that – in order to find the inner laws governing a system – you need to make sure that the system is not perturbed by effects that will cloud the effects you are studying. In the case of gravity, you must ensure that the effect of air doesn't affect too much the fall of an object. In the case of the Hubbert curve, you must make sure that government actions don't affect too much production. In other words, Hubbert's law works best in conditions of free market; when people can decide whether to extract oil or not depending on whether they think they can make money or not from the task.

3. The Hubbert law

This said, let me show you a few examples of Hubbert-like curves.




This one is the production of anthracite coal in Pennsylvania, one of the best examples we have of a Hubbert curve. I think it is from this graph that Hubbert got the inspiration to propose a similar curve for petroleum, although I am not aware that he ever mentioned this curve.



This is another example of a Hubbert curve, this time for a mineral not used for energy production: boric acid. These are data that I found just a few weeks ago. The curve is not a "perfect" Hubbert curve but, clearly, the trend is there.




This is another mineral commodity, phospates (From Dery and Anderson). I am showing this one because phospates are a fundamental fertilizer used in agriculture. We could live without oil, but we cannot live without phospates. Here; the curve is not complete, but the tendency is rather clear. 


And here you can see that the curve is the same also for commodities that are not thought of as "minerals", normally. The Saudis had been extracting "fossil water" from underground aquifers and, for a while, they kept a flourishing agriculture with this water. Then, it was over. Luckily for them, they can import food with the money they make selling oil. But their oil will not be eternal, either.
As a last example, here are the data for something that is not by any means a mineral resource. It is the production of whale oil (and whale bone, used for stiffening ladies' corsets). Even though whales do reproduce, they were hunted so fast that the cycle was the same as that of non renewable resources.

I think you see that there is a pattern; a logic; and this “bell shaped” curve does not appear just for oil, or energy resources. It is a very general pattern of production of non renewable resources (or slowly renewable ones, such as whales).

Before you interrupt me, I hasten to say that there are counter-examples, of course. Go see oil production in Saudi Arabia, for instance, and you will see no bell shaped curve. There are other examples. But the Saudis extract on very different assumptions than those of the commercial oil companies; short term profits are not their only objective. As I mentioned before, even for Newton's idea, there were counter-examples; a feather for instance. Here, the concept is that, when governments or dictators, or the Gosplan (the Soviet planning agency), do not intervene in ordering people what to do, the actions of investors and operators will be based on reasonably objective evaluations of what is convenient to do in economic terms. That evaluation, in turn, must be based on physical factors – so a free market may be expected to be strongly affected by physical reality.

4. Entropy and economy

So, I am asking you to follow me with this idea; that the bell curve is a “natural” behavior of production for non renewable or slowly renewable resources. With “natural” I mean that it is the way the system is expected to behave when there are no strong interferences from political or other kind of perturbations. Then, I said that we should look at the inner mechanisms that make the economy behave in this way. I believe that we don't need to invent a brand new law, as Newton did for gravity. We already have the laws we need – even though so far we failed to apply them to this case. These are the laws of thermodynamics. Here are the three laws in a simplified form:

  1. You can't win
  2. You can't get even
  3. You can't quit the game

That is, of course, very simplified! There are even simpler versions. For instance, for economists it would be just a blank slide (sorry, I said no economist-bashing!). Before going on, let me tell you that this is a new idea that is moving forward nowadays– the idea of applying thermodynamics to the economy. More exactly, to apply “non equilibrium thermodynamics” (NET) to the economic system. It is a work in progress. So, what I'll be telling you is still tentative, but I do believe that we are on the right track.

Now let me show you this image of a waterfall:

And now let me ask you a question: what makes water fall? You'll say it is gravity; and that is correct. But there is a deeper factor here – this movement is eventually generated by the laws of thermodynamics. Nothing escapes thermodynamic laws. It is a question that I ask to my students, sometimes: how do you explain that water flows down in thermodynamic terms. It is difficult for them to find the answer right away, and yet they have studied thermodynamics. So, let me tell you; water flows down because of the second law – the entropy one.

You may remember from your studies that entropy is related to disorder. In some senses, it is true, but it is a definition that creates a lot of confusion. Think of entropy as heat dissipation. Then, everything that happens in the world is the result of some heat being dissipated – entropy tends to grow. When water falls from a high reservoir, some heat is created. The water at the bottom is slightly hotter than the water at the top – energy must be conserved, so it appears in the form of heat. Slowly, this heat is dissipated to the surroundings and that is what drives the system: entropy increase. The law of entropy is the law of change. Things move because entropy can increase – otherwise everything would stay frozen as it is. An equivalent way of saying that is that things happen because potentials tend to equalize. In the case of a waterfall, we have a gravitational potential difference (or "gradient"). With crude oil we have a chemical potential difference. There are other kinds of potentials, but let's not go into that now.

Now, maybe it is not correct to say that something happens “because entropy must increase.” Probably, it is more correct to say that the universe behaves in a certain way and that it is convenient for us to describe this behavior with concepts such as “gravity”, “entropy” or “potentials.” These concepts are more useful than those involving angels pushing – or similar ones; such as the invisible hand.... sorry; no economist-bashing, I said. But, in practice, for these concepts to be useful I can't just tell you, “the economy moves because entropy must increase”. It is true, but we need to go much more in detail. In order to do that, we need some kind of formalism where we can change the parameters of the system and see whether we can reproduce historical data, for instance Hubbert's curve. That is what I'll be doing; showing you how Hubbert's idea can be derived from an interpretation that – ultimately – has to do with thermodynamics. But first let me introduce to you the method known as “system dynamics” which can be used to describe this kind of systems.

Let me show how system dynamics (SD) works by showing a description of a waterfall. Here, actually, it is about a bathtub, but the physics is the same.



The model is made out of boxes, arrows and valves. Boxes are termed “stocks” and arrows are termed “flows”. If there are two boxes connected to each other, a stock may flow into another depending on the potential difference. In general, the concepts of potential or gradients are not so often used in SD. This is a shortcoming, I think. Anyway, I said that I wanted to make a model that describes the economy and produces the behavior that we have termed “Hubbert's”. In order to do that, a single waterfall is not enough. We need something just a bit more complex – like this three tiered fountain.




The driving forces in the water movement are the same as before – gravitational potentials. Now, this fountain is not the perfect model for what I am trying to do. Use it just as an illustration of the concept that it is a potential-driven system. For modelling an economy, we need a further step: the concept known as “feedback”. That means we have to assume that the flow from one stock to the other does not depend just on the size of the upper stock, but also on that of the lower stock. The model is now more like a biological model. Think of the lower stock “preying” on the upper stock and growing in proportion. Without feedback, we have no growth and the model does not define a real economic system. So, let's take this further step and describe the model using the convention of system dynamics.

5. A simple model of the economic system

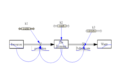
Here, we have a very simple model that has three stocks: resources, the economy, and waste.

Note the arrows that connect stocks to valves. These arrows indicate feedback. But note also that the system is driven by thermodynamic potentials. Essentially, the economy is an engine that transforms resources into waste. Its "fuel" is, mainly, the chemical potential of fossil fuels.


Now, the model is made using a software called “Vensim” which does not just draw arrows and boxes. It “solves” the model, that is it calculates the flows as a function of the initial amounts of stocks and of the parameters of the system (the “ks” here) – those that are basically describing the potentials. Again, let me state that these SD software packages are not thought in terms of thermodynamic potentials. One day, we may have packages specifically defined for that purpose. For the time being, let's jut keep in mind this point. Now, let's go on and see how the system works. With Vensim, you can change the parameters in real time and see how stocks and flows change. Here are some results:

The software allows you to solve the model iteratively; you see what happens as you change the values of the constants using sliders. And, here, you already start seeing “bell shaped” curves. We can plot the results in a better way; here is how the three main stocks (resources, the economy, and waste) vary with time.



This is a very, very general behavior - it works for a variety of systems. It describes chemical reactions, epidemics, and even the explosion of a nuclear bomb. I also found that it can be applied to the collapse of empires. In a way, it is something like applying Newton's law to different systems - you can describe galaxies, planetary systems and spaceship trajectories, all with the same, simple law. Note that here, unlike the case of gravity, we don't have a physical "force" that pulls together the elements of the system; nothing that you could measure with a dynamometer. But there is a powerful entity that moves the system anyway: entropy.

Now, back to the case of an economic system, you see that the “engine” which is the economy, revs up until a certain time, then it slows down and it falters. Eventually, entropy wins. When all the resources have been transformed into waste, then entropy has been maximized. In the case of the world's economy, the transformation is mainly from fossil hydrocarbons (CxHy) to CO2 and, of course, the chemical potential of hydrocarbons is higher than that of CO2. The economy is an enormous, three stage chemical reaction.

We could modify the system taking into account many more effects – recycling waste for instance, but let me not go into that. Let's see, instead, is how the model describes Hubbert's curve which is the flow rate from the resources stock to the economy stock.


Qualitatively, you see that we do generate “bell shaped” curves. Here, the blue one ("production") is the one that should be compared to the historical production data for crude oil or other commodities. That is possible, but not sufficient to say that the model is good. What I think is a fundamental test for this model is whether it can fit at least TWO sets of data; if possible more. This is a hard test, as I found out working on that.

In practice, we often have good data for production, but for “the economy” it is much more difficult. Nevertheless, we'll see that we can find good “proxy” data for that. So, the model can be put  to this hard test and it succeeds. We can test the model on small economic systems that we may assumed to be self-contained. Let me show you an example, whale oil in 19th century. We had already seen the production data earlier on. The question, then, is what could we take as data for "the economy," in this case related to that subsystem of the whole economy that was engaged in whaling at the time. Unfortunately, we don't have these data, but we can find a good "proxy" for the size of the whole industry in the size of the whaling fleet. And we see that it works:


There are other examples. Together with my coworker, Alessandro Lavacchi, we published a paper on this subject that shows how even this very simple model can be used to describe the exploitation of non-renewable resources. Here is just another example: crude oil production in the US 48 lower states - the quintessential "Hubbert curve".




Note that here we have used as “production” not the actual oil production, but the size of oil discoveries. That is because the main effort in oil production is discovery. Once you have found where the oil is, the development process is smooth – almost “automatic” – but it takes several years to go from the first successful find to actually producing something. And, as proxy for the effort of the oil industry we have the number of wildcats, that is of exploratory wells. Note how the industry made a big effort to find oil starting from the 1950s, but basically it couldn't find much. It is typical, as I said.

Now, to show you what the model can do, let's use it to extrapolate economic trends to the future. we could take as “production” the total world primary energy production and as “the economy” we use the world's GDP as a proxy. And here is the result. This is a calculation done together with Leigh Yaxley a few years ago.


As you see, the model predicts that the production of primary energy will peak in a few years from now and then will go down irreversibly. The size of the economy (measured in terms of GDP), curiously, will keep growing for a while; then it will peak and decline as well. Of course, you may be perplexed about these results if you see them as predictions. So, I think I'll spend a few moments discussing what exactly we aim to do with these models. One fundamental point is that we cannot make predictions of what will happen in decades from now. Maybe it makes sense to say that the world's primary energy production will peak in four years from now; that is because we have other models that tell us that. But about the world's GDP peaking in 2044, well, of course you have to take that as a guess. That doesn't mean that the model is useless. If you ask the right questions to the model, the model will give you useful answers. Otherwise, there holds the rule of "garbage in - garbage out." For instance, if you are asking, “How can the economy keep growing throughout 21st century” the model cannot tell you that.

So, from the model you can gain important insights in terms of trends. For instance, if you see the world's energy production going down and the GDP going up; then you might be very happy because you'll say that the economy is becoming “more efficient." But the model tells you that you are not being more efficient, you are simply using previously accumulated resources to keep the economy running. And, of course, you can do that only for a while.

But I do understand that this model is really very simplified. For instance, it does not include renewable resources and it is true that our economy is not completely based on non-renewable resources; even though most of it is. So, the question you may ask now is whether we can do something more detailed. How about adding to the model agriculture, recycling, renewable energy, etc.?

Sure. It can be done and – in fact – it has already been done long ago. The first time it was in 1971 in a work titled "World Dynamics" by Jay Forrester who, by the way, is the inventor of system dynamics. But let's examine here the more detailed study that was published one year later, in 1972. It was inspired by Forrester's work and I am sure you have heard of it. It is the “report to the Club of Rome” titled “The Limits to Growth” of 1972.

6. The Limits to Growth

Now, you may have heard that “The Limits to Growth” (let's call it "LTG") is an outdated work; that it was all a mistake, that they made wrong predictions and the like. Those are just urban legends. People tend to disbelieve what they don't like and that is why LTG was so widely rejected and even demonized. I wrote an entire book on the story of "LTG," it will be published next month, but let me not go into too many details. Let me just say that The Limits to Growth was a very advanced study for its times; it was not a mistake and its predictions were not wrong. In any case, these models are there to show you trends; not to give you exact dates for what will happen.

So, let's go into some details. Let me show you the structure of the first LTG model, called "World3". This is a scheme taken from the Italian 1972 edition:


Of course, you can't understand anything here - and not just because the boxes are labelled in Italian. The reason why I am showing this image is to give you some idea of the structure of a complete SD world model. It looks like one of those puzzles that you find in the Sunday edition of your newspaper. This is a problem that I think we have with system dynamics. Most SD models look the same; at first sight you have no idea of what is being modeled: it could be a fish market, a nuclear plant or a hospital; it is still boxes all the way. There are SD software packages that allow you more graphic freedom; but let me not go into that. The point that I wanted to make is that this model - the "world3" model of "The Limits to Growth" it is not so different, in the end, from the simple model that I had been showing you before. All these models have something in common – the fluxes that go from one boxes to another are governed by thermodynamics. So we might think of a model like this one – the LTG one – as a big, multi-tiered fountain, more or less like this:



This is the Trevi fountain in Rome. It is complicated, as you see, but, in the end, there is a common force that runs the fountain: it is the gravitational potential that moves water down. So, the whole makes sense: there is a physical law that governs the flow of water. So, we could see the LTG model as an especially complicated fountain. We could go into details, but of course we don't want to do that now. Let's try, instead, to simplify the model and see if we can understand what it is about. Here is a graphic representation of the World3 model made by Magne Myrtveit a few years ago:


This is a simplified model; it doesn't reproduce all the features of the original. But it has the advantage of being "mind sized" - it is something that we can grasp and the use of images helps a lot; it is much better than boxes with some label on them. So, as you see, the model can be reduced to a small number of stocks. Here we see them: we have five main stocks; in alphabetic order we have agriculture, industrial capital, non renewable resources, population, and pollution,

Note that, again, this representation of the model does not show the thermodynamics behind. With the stocks arranged as they are in the figure, the potentials that move the system are not evident. Yet, they must be there. Nothing can move without a potential difference that pushes it. So, one thing that we'll have to do someday is to make these potentials visible in the representations of these models. But, as I said, I am telling you about a work in progress – there is plenty of work in this field that someone will have to do in the future.

Now, let's examine the model a little more closely. You recognize that there are three stocks which are just the same as those of the simpler model that I showed to you before. Here the stocks are given different names: mineral resources (the stock that was called "resources"), industrial capital ("the economy") and pollution ("waste"). Then, there are two more stocks; one is agriculture – intended as renewable resources and then there is population. These two new stocks are needed for more detail in the model and, of course, there are many more connections: now the model can describe such things as recycling and the effects of pollutions on the industrial capital. Note also that “renewable” resources may not be absolutely so. Soil is not renewable if it is overexploited – it is called erosion.

At this point, we may go to the results. I am showing to you the data from the first edition of LTG, back in 1972, the main results haven't changed much in simulations performed 30 years later with updated historical data. So, this is the output of the model for the best data available at the time; that was called the “standard run” (the graph is, again, from the Italian edition; the text is from the 2004 edition)


The labels in the plot are a little too small to be readable, but let me describe these results to you. First, the scale spans two centuries; starting in 1900 and arriving to 2100. We are about at the middle of the graph. Now, look at the “resources” curve (red). It has exactly the same shape as the one that we obtained with the simpler model, before. And the curves for industrial and agricultural production (green and brown), yes, they look very much like Hubbert curves, even though here they are not symmetric. This is due in part to the effect of pollution which adds to the effect of depletion. But it is not a very big change.

And then, of course, you see the pollution curve (dark green) – here a basic supposition is that pollution is not permanent - it is gradually re-absorbed by the ecosystem. So, the pollution curve goes up and then down, following with a time lag the behavior of industrial and agricultural production. Finally, there is population. It keeps growing even though agricultural production goes down; this is because people can still reproduce as long as there is at least some food. Actually, there is no direct proportionality in term of food availability and reproduction rate but, in any case, in the long run the lack of food takes its toll. Population starts going down too. What the graph shows is the total collapse of civilization – our civilization. It is thermodynamics doing its job; it is the way everything in the universe works.

You see that, according to this scenario, the start of the collapse of the industrial civilization might start, well, just about now. That might explain a few things about what is going on now in the world. But let me tell you that these simulations are not supposed to provide you with dates for specific events to occur – except in a very, very approximate way. As I said, these simulations tell you about trends, not about events. So, the model tells you that a collapse of the world's economy could start at some moment during the first few decades of the 21st century - maybe later, but in any case not in a remote future.

But there is more; much more. Here we go into something very interesting: it is that trends may change according to your assumptions. So, the “standard run” scenario tells you that civilization collapses mainly because of resource depletion. But we can change the initial assumptions and arrive to very different results. If you assume that we have more resources or - which is about the same - that pollution is more damaging than expected, then what brings civilization down is not resource depletion but the effect of pollution. This is, again, from the 1972 edition of "The Limits to Growth" - the results have not changed in more recent calculations.



Look at the pollution curve shooting up rapidly – it is a different path to arrive to the same result: collapse. In the end, thermodynamics must win. Of course, today we tend to see this “pollution” as something very specific: global warming caused by emissions of greenhouse gases.

So, you see, we are walking on a knife edge. We may be destroyed by climate change or by resource depletion (and possibly by both at the same time). From the most recent LTG simulations performed around 2004 it still seems that it is more likely that we will be destroyed by resource depletion – but we cannot really say. The data are too uncertain and in recent times we have seen a worrisome tendency for people to go for more and more “dirty” fuels (coal, tar sands and the like) and that increases pollution while it gives to you the illusion of having more resources. But the final result will be the same.

7. Facing collapse (a view based on stoic philosophy)

So, here we are. You see, seeing these results in thermodynamic terms gives them a certain weight; a certain value of ancient prophecy – something that Cassandra herself might have uttered. She was not believed of course; just as today the authors of LTG have not been believed. But there are thermodynamic constraints to the system that we cannot dismiss - even though these limits may not appear in economics textbooks. The final result is collapse in a form or another. We cannot avoid it.

Not that we couldn't do something to soften the blow. What is collapse, after all? It is just rapid change; but things are changing all the time. A collapse is just a period in which things are changing faster than usual. It is like crashing a car into a wall: maybe you can't avoid it, but if you wear seat belts and you have an airbag you'll be much better off. Even more important is to see the wall as soon as possible and start braking. So, detecting the collapse in advance would permit us to go into mitigation strategies. It means managing collapse in such a way to transform into a "soft collapse"; even though not everyone might be happy about it. You are not happy when you car crashes into a wall, but if you come out of the wreck unscathed, well, it is a good thing.

This is the idea that we see very often discussed in meetings such as this one, today. We discuss about what we should do in order to avoid, or at least mitigate, the dark and dire things that depletion and climate change are bringing to us. We discuss plans, technological improvements, “sustainable development”, and many more ideas. The problem is that, outside this conference, nothing is being done and nobody seem to care about what the future has in store for us. It is worse than that, there are plenty of people out there who spend their time actively disparaging what science is telling us about the risks we are facing; global warming in particular. Unfortunately, if we deny thermodynamics we are destined to experience it on ourselves.

So, I am afraid that all the planning and all the “solutions” we have been discussing so earnestly in this conference will be leading to very little. So, what are we to do? Just keep quiet and brood? Well, that depends on you, but one thing I can tell you and it is that we might learn something more from history. See, collapses have already occurred for past civilizations – this much we know very well. And the question is what did they think, what did they do, when they saw their world collapsing around them. This is a fascinating question and we may try to answer it by looking at the civilization that is perhaps the most similar to ours and for which we have the most data. It is the Roman Empire.

I have already written something about the fall of the Roman Empire; I titled it “Peak Civilization”. I saw that it was a huge success in terms of readers. Indeed, you may have noticed that the Roman Empire is very popular nowadays. It is because it is not so difficult to understand that there are so many similarities between us and the Romans. Not everything, but a lot of things. In “Peak Civilization” I tried to apply system dynamics to the Roman Empire – that could not be made quantitative, of course, but in qualitative terms, yes, it works. The Romans were brought down by a combination of resource depletion and pollution. The same problems we are facing today.

So, what did the Romans do? Well, one thing that is clear is that they could do very little. They could never manage change; they were almost always overcome by change. Not that they didn't try; but it was difficult: the empire was too big and human efforts too puny in comparison. Even Emperors couldn't reverse the collapsing trend – no matter how hard they tried. Not even an emperor can beat thermodynamics. So, what did the Romans think about the situation? Did they get depressed? Hopeful? Resigned? Well, we can have some idea on what they were thinking from what they left to us in writing. And one thing that we may identify as their response to the situation was the philosophy that we call “Stoicism.”

Of course, this is not a presentation about philosophy, but I think I could conclude it with a note about this ancient philosophy because it might come useful to us, too. Stoicism was developed in Greece in a period when the Greek civilization was collapsing. Then the Romans picked it up and adapted it to their culture. Stoicism is a philosophy that permeates the Roman way of thinking, it also deeply influenced the Christian philosophy and we can still feel its influence in our world, today. The basic idea, as far as I can understand, is that you live in bad times, yes, but you maintain what we would call a "moral stance". We could say that Stoics thought that "virtue is its own reward" although, of course, there is much more than that in Stoicism.

So, when I was coming to Spain from Italy, I took with me a book written by Marcus Aurelius, a Roman Emperor who lived and ruled in mid-2nd century AD. It is titled “Meditations.” Perhaps it is not a great book, but surely it is an interesting one; mainly because it is a sort of manual on how to apply Stoicism to everyday life. Marcus had a very hard time during his reign. He had to fight almost all the time and he never had the time to write a treatise on philosophy. He just jotted down notes as he had a moment free from the battlefield. That is what the “Meditations” is; a book of snippets. From it, you can get a good idea of the personality of the Emperor. He was a good person - I'd say - who had seen much and experienced much. He had always tried to do his best, but he understood how puny are human efforts.




From Marcus' “Meditations” and from what I read about stoicism, I think I can summarize the basic idea as:

You cannot win against entropy, but you must behave as if you could.”

Of course, Marcus didn't know about entropy, but he had very clear how the universe is in continuous flow. Things change and this is the only unchangeable truth. I think this is our destiny and what we have to do. Likely, we won't be able to save the world we know. Probably, we won't be able to avoid immense human suffering for the years to come. Yet, we must do our best to try and – who knows – what we'll be able to do might make a difference. I think this is the lesson that Marcus is telling to us, even from a gulf of time that spans almost two millennia. So, I leave you with some words from the book "Meditations" which maybe you can take as relevant for us today.  

"Be master of yourself and view life as a man, as a human being, as a citizen and as a mortal. Among the truths you will do well to contemplate most frequently are these two: first, that things can never touch the soul, but stand inert outside it, so that disquiet can arise only from fancies within; and secondly, that all visible objects change in a moment, and will be no more. Think of the countless changes in which you yourself have had a part. The whole universe is change and life itself is but what you deem it." (translation by Maxwell Staniforth, 1962)


- Acknowledgement

I would like to thank all of you for your attention and also the organizers of this conference, David Lafarga and Pilar Carrero, for all the work they did. I would also like to thank Daniel Gomez for driving me to Barbastro from Barcelona and for the photo of me at the conference, with the apple. Finally, thanks to Aglaia Gomez for her assistance in many things during and before the conference.











Friday, May 6, 2011

Brussels vs. Barbastro: two peak oil conferences



The logo of the Barbastro conference on peak oil. A bit of an unlikely place for such a conference, a small town in the Southern Pyrenees, in Spain. But the UNED is a major Spanish University that works on the concept of "Distance Learning." For those of you who can read Spanish, you can find a detailed report of the Barbastro conference in Antonio Turiel's blog "The Oil Crash"


It is not usual to have two peak conferences in a row; spaced of just a few days from each other. But that happened this year, with the ASPO-9 conference held in Brussels, Belgium on April 27-29, and with the conference titled "Peak oil, fact or fiction?" held in Barbastro (Spain) on May 5-7; organized by the UNED (Universidad National de Educacion a Distancia).

The two conferences had the same theme and at least one common speaker (Chris Skrebowsky). Several people attended both and I was one of them; so I think I can tell you a little about this full immersion of nearly two weeks on peak oil and related subjects.

So, first of all let me say that these were both very interesting conferences, at least if you are interested in dark and dire things to come. Hours and hours of talking about peak oil can't solve the question of when exactly it will going to arrive (or has it already arrived?). That depends on how you exactly define peak oil. Is it "peak crude?" Or "peak all liquids?" Or, as someone said in Brussels, shouldn't that be "peak net energy?"

In the end, it is not so important. From the talks I heard, I got the impression that most industry professionals in the field of oil production are aware of the issue. Some of them are more concerned than others; but their attitude is, basically, "we can keep extracting oil and even increase production if we are paid enough" But that, of course, is by no means granted, so we are facing hard times anyway. On this point there was no substantial difference between what was heard in Barbastro and in Brussels.

Of course, there were also differences. The conference in Brussels was bigger, somewhat more formal, more focussed on the specific subject of peak oil. These are, at least, my impressions - Brussels had parallel sessions, so I couldn't follow all the talks. The Barbastro conference, instead, was less formal and taking a wider approach. Maybe the presentations in Brussels were more consistently of good quality, but some presentation in Barbastro were extremely stimulating and thought-provoking. We heard more talks in Barbastro on sustainability and  the climate change issue was not a ghost howling in the night - as it was in Brussels (as I discussed in a previous post). It was a central point of the discussion, as it deserves to be and it was clear to everyone that global warming is an issue at least as important as peak oil; if not much more.

Overall, Barbastro seemed to be willing to tackle wider questions and to ask unmentionable questions; for instance, do we really own everything in this planet? If we are justified in poisoning people in order to produce combustible liquids and gas, why don't we jump to the ultimate consequence and turn human corpses into oil? Some talks in Brussels were frankly scary, but in Barbastro some presentations made you feel like running away screaming.

I came back from Brussels with the sensation that we can still keep going for a while with things as they are (BAU) but from Barbastro I got the impression that we can't; that we are going to get into big troubles much sooner than most people expect (BYE BAU). These are sensations, of course. These subjects are so vast that it is impossible to quantify trends. We all rely on impression; trying to make some sense of the data we have. But, at least, from these conferences you get data and analyses possibly slightly more reliable and in-depth than what you normally see in TV.

Some final notes: Brussels is big, the capital of Belgium and also of Europe. Barbastro is a small town in the Spanish Pyrenees. But there are things in common. One is that food is great in both places (although much more expensive in Brussels). Another is that both conferences were mostly ignored by politicians and Big Media. A specific problem with Barbastro was that it followed the typical Spanish schedule. Morning sessions ended at 2:30 p.m and afternoon session at 8:pm. Then, you had lunch around 3 pm and dinner around 10 pm. You can get used to that, of course. It will be much more difficult to get used to other problems that we'll be facing in the coming years.


______________________________


As I am writing, there is still one session to go in the Barbastro conference, but I am sure it won't change my overall impression - although it might increase that feeling of running away screaming that I mentioning. I am also preparing a post for "Cassandra" of my presentation in Barbastro. The title is something like: "Hubbert's peak, thermodynamics, and stoic philosophy."  I didn't know what the tone of the Barbastro conference was to be when I prepared my talk but, curiously, it turns out that I had perfectly interpreted the mix of philosophy, physics and geology that has characterized the meeting. Will be up as soon as I can have one of my clones working on it.

Who

Ugo Bardi is a member of the Club of Rome, faculty member of the University of Florence, and the author of "Extracted" (Chelsea Green 2014), "The Seneca Effect" (Springer 2017), and Before the Collapse (Springer 2019)